欢迎访问万象城网页版!
贵州大学
管理入口
首页
学院概况
党建思政
师资队伍
学科平台
本科生教育
研究生教育
科学研究
实验中心
校友专栏
三全育人
下载专区
首页
培养方案
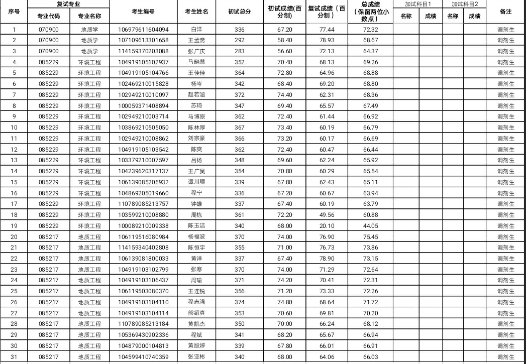
资源与环境工程学院2019年硕士研究生第二轮招生复试成绩公示
发布时间:2019-04-11
浏览次数:
3818
万象城平台-万象城(中国)一站式服务平台
|
开云app登录入口-开云(中国)
|
开云(中国)Kaiyun·官方网站-登录入口
|
华体会平台-华体会(中国)
|
开云手机端·官方版在线-开云(中国)
|
开云手机web版登录入口-开云online(中国)
|
万象城网页版-万象城(中国)官方
|
开云手机入口-开云中国
|
万象城网页版-万象城(中国)官方
|